|
|
在选择泰兴减速机的时候经常有人问你们这泰兴减速机里面的齿轮模数是多少的?怎么计算呢?今天就来推荐一些比较简单的方法,希望对你有用!
如图1所示泵体,要求准确测量13H7孔和9H7孔的距离128:器mm。因两孔相互垂直,一般方法难以检测,图2所示是我们为此专门设计的检具。检具中的测头6以螺纹M2.5与百分我7相速,测头(图3)为一直线,便于测量心棒9接急时能将尺寸精确反映在百分表7上。同时要求百分表架4、定位轴1与测量心轴2等距,测量心棒按0.002mm分级。
使用该检具的测量方法是:选择与泵体9rmm孔相适的测量心棒9,然后在量具的测量心轴2内插入样件8,将测量心棒9与定位轴1、样件8靠紧,百分表的测头受压,指针随之移动,见图4。百分表对零后,取走样件,泵体9mm孔插入测量心棒,将泵体放入测量心轴,同时转动泵体,使得测量心棒靠住定位轴,可出百分表的读书,限定读数。
现在介绍一种比较简单的方法测量齿轮的模数。
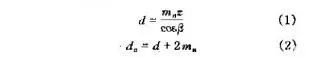
在测绘一个大型斜齿轮轴时,由于轴伸过长及缺乏专用的测量工具,齿根圆直径无法测得,只测得齿项直径d。m=112mm,齿数x=16。为计算该齿轮模数,我拓印下部分齿面,测得其螺旋角约为β=15°,根据斜齿轮计算公式,有
式中:d——分度圈直径
ma——斜齿轮法向模数
由式(1)、式(2)中消去d,则
由标准模数表选标准模数m。=6,由式(2)求得分度圆直径d=100mm,然后精确求出螺旋角A=16°,15'37”以及其他基本参数。
